Technical Tutoring Home · Site Index · Advanced Books · Speed Arithmetic · Math Index · Algebra Index · Calculus Index · Trig Index · Chemistry Index · Gift Shop · Harry Potter DVDs, Videos, Books, Audio CDs and Cassettes · Lord of the Rings DVDs, Videos, Books, Audio CDs and Cassettes · Winnie-the-Pooh DVDs, Videos, Books, Audio CDs, Audio Cassettes and Toys · STAR WARS DVDs and VHS Videos
Limits - Techniques 1 - Finite fixed point (x0), finite limit (y0)Cancelling a linear factor · Limit does not exist · Difference of two squares · Combining the numerator · Applying an algebra formula with an unknown number of terms · Multiplying by a unity factor · Factoring cubic polynomials · Substitution · Recommended Books
Here we are less interested in the definition of the limit than in how to calculate them. We proceed by examples, using the following terminology
![]()
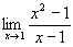
Example 1 - Cancelling a linear factor
Find the limit
![]()
Solution
Clearly we'll have problems just substituting x = 1, since that will make the denominator zero, and the entire expression undefined. Instead, we'll do some algebra first to see if we can trim off any fat. Since (see algebra formulae)
![]()
We can write
![]()
And so
![]()
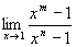
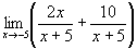
Example 2 - Limit does not exist
Find the limit
![]()
Solution
Again, straight substitution won't work. In fact, regardless of how we play with this limit, we will still have a factor in the denominator which is zero, while the numerator is not. This limit does not exist. We cannot even assign it either +/- infinity, since the answer will be different depending on whether x approaches 4 from below (negative infinity) or above (positive infinity).
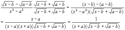
Example 3 - Difference of two squares
Find the limit
![]()
Solution
Apply the same algebra technique as the first example above, twice:
![]()
So,
![]()
Example 4 - Combining the numerator
Find the limit
![]()
Solution
A little algebra reveals that this limit is also not what it seems
![]()
And so
![]()
Since 2 is not a function of x, it doesn't matter what the fixed point is, the answer is still 2!
Example 5 - Applying an algebra formula with an unknown number of terms
Find the limit
![]()
For the three cases: m > n, m = n, m < n.
Solution
The m = n case is trivial
![]()
In the case where m < n or m > n, from the algebra formulae
![]()
So,
![]()
Notice that this agrees with the trivial result when m = n.
Example 6 - Multiplying by a unity factor
Find the limit
![]()
Solution
Multiply by 1 in the form of the numerator with a "+" sign substituted for a "-" sign:

Therefore,

Please note in the above examples that, once the limit has been taken, the limit symbol is removed and the fixed point is substituted for x. Prior to that, the limit symbol is needed. When we are doing pure algebra, we leave off the limit symbol to avoid cluttering the math.
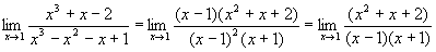
Example 7 - Factoring cubic polynomials
Find the limit
![]()
Solution
Inspection of the denominator shows it becomes zero at x = 1, which means (x - 1) is a factor of the polynomial in the denominator. Performing a division (you can do the subtraction under the divisor if you like - you will need to be able to factor cubic polynomials like this),

Since x = 1 is an interesting point for the denominator, we can try it with the numerator

The quadratic term on the right is irreducible, since
![]()
So, out limit becomes
![]()
The numerator becomes finite while the denominator goes to zero, there is no more algebra which can reduce the expression, so this limit does not exist.
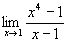
Find the limit
![]()
Solution
Here it helps to do a substitution

so that we can now write the limit expression as

This technique will prove very useful for calculus problems later.
Schaum's Outline
of Calculus (Schaum's...
Schaum's Easy
Outline: Calculus