Technical Tutoring Home · Site Index · Advanced Books · Speed Arithmetic · Math Index · Algebra Index · Trig Index · Chemistry Index · Gift Shop · Harry Potter DVDs, Videos, Books, Audio CDs and Cassettes · Lord of the Rings DVDs, Videos, Books, Audio CDs and Cassettes · Winnie-the-Pooh DVDs, Videos, Books, Audio CDs, Audio Cassettes and Toys · STAR WARS DVDs and VHS Videos
Cubic PolynomialsCubic Equations and Solutions · General Method for Guessing Solutions · Examples · Synthetic Division · Suggestions · Recommended Books
A general cubic or third-degree polynomial looks like this:
![]()
We are particularly interested in finding roots of the equation
![]()
In short, we seek three numbers x1, x2 and x3 so that
![]()
which also satisfy the previous equation.
General Method for Guessing Solutions to Cubics
There is a general method for finding roots of a cubic, but using it is quite cumbersome. Well tackle a simplified version of the method here. Multiplying the last equation out produces
![]()
To compare this result with the original cubic we want to solve, we must first divide by the first coefficient:
![]()
For convenience sake, well abbreviate this to
![]()
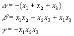
Comparing coefficients gives

Well use these formulas to guess the first root.
Example
Find a solution to
![]()
Solution
Compare the coefficients to the above formulae. We need three numbers whose sum is 6 and whose product is also 6. The only combination of numbers that fits this bill is 1, 2 and 3. Well need to try at least one of these roots, which naturally leads us to
Synthetic division is a way of dividing a higher-order polynomial by a lower-order polynomial. If the higher order polynomial does not divide evenly, a remainder will be left which can be expressed as a fraction. The method is similar to ordinary long division well do one of the above roots as an example.

This divides evenly and so (x 1) is a root. Some people do synthetic division with the coefficients only and leave out the powers of x. We have chosen to do it "the old way" as above, since it seems clearer.
Once the cubic is solved (i.e., after the first root is extracted), the remaining quadratic can be solved with any of the quadratic methods already discussed. As we guessed, the other two solutions are 2 and 3:
![]()
Example
Find the roots
![]()
Solution
Comparing the coefficients shows that we need three numbers whose sum is 2 and whose product is 2. The reader might want at this point to write down several combinations of numbers that fit. This exercise is valuable for developing guessing ability, which often comes down to brainstorming possible solutions, then quickly evaluating each choice. Were going to try 1, 1 and 2. As above, well pick one of the solutions and do a synthetic division to see if it divides the cubic evenly.

The quadratic we have left is
![]()
So our guesses turned out to be correct.
The reader can make many examples by simply choosing three (small) numbers, preferable mixing positive and negative integers, multiplying the numbers each subtracted from x in parentheses to derive the cubic, then going through the above guessing process to solve the cubic. Since the answer is known in advance, this exercise is not quite as good as starting from a totally new and unknown cubic, but the point is that the reader can make and then do many examples. After doing lots of examples, the reader will find that speed comes with practice, and solving cubics by guessing becomes very easy.

The classic algebra problem book - very light on theory, plenty of problems with full solutions, more problems with answers

A simplified and updated version of the classic Schaum's Outline. Not as complete as the previous book, but enough for most students