Technical Tutoring Home · Site Index · Advanced Books · Speed Arithmetic · Math Index · Algebra Index · Trig Index · Chemistry Index · Gift Shop · Harry Potter DVDs, Videos, Books, Audio CDs and Cassettes · Lord of the Rings DVDs, Videos, Books, Audio CDs and Cassettes · Winnie-the-Pooh DVDs, Videos, Books, Audio CDs, Audio Cassettes and Toys · STAR WARS DVDs and VHS Videos
The FOIL Method (also known as educated guessing) Deriving the guiding equations · Example all numbers different, numbers are ugly · Example all numbers different, all numbers pretty · Special Case: c1 = c2 = 1 · Examples · Recommended Books Deriving the guiding equationsReally, FOIL refers to multiplying the terms in parentheses to get the quadratic form. In that sense, we are actually UN-FOILing, but students are likely to know what we mean.
Here we take a quadratic, usually of the form
![]()
And try to put it in a form like
![]()
This amounts to guessing, so when it works, this is the fastest factoring method. We can try to systematize the method by multiplying the above out; the result is (skipping intermediate steps)
![]()
For most people, this is not very helpful. We will use this expression as a guide to guessing the numbers c1, c2, d1 and d2.
FOIL, of course, means: First, Outside, Inside, Last - the order of multiplication to expand the double parentheses form. The last two equations above show the beginning and end result of a FOIL calculation.
The easiest way to make sense of the guessing process is to consider examples and discuss them, constantly referring to the last equation in an effort to make the guesses consistent. Well start with the more involved examples and try to move towards easy special cases.
back to top Example all numbers different, numbers are uglyThe worst possible case to consider is where all four numbers c1, c2, d1 and d2 are different. In addition, there are two "sub-cases" ugly numbers and pretty numbers. Lets try an example with four different, ugly numbers.

Well go backwards, produce the quadratic, and then comment about how this might be solved.

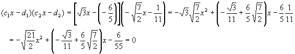
Pretty gross, huh? Even though we know what went into making this monster, looking at the quadratic makes it pretty hard to guess what factors went into it. The answer lies in using the magic of prime factorization take every number and reduce it to a product of prime raised to various powers, then look for clues like repeated factors. Were actually lucky with this example, since all the original factors are products of primes and there are no common factors (another complicating issue well blow this off and assume you have the sense to divide out all common factors).
Lets pretend we are seeing the quadratic for the first time, and that it has been re-arranged somewhat to
throw us off.

The first thing to do is factor all non-prime numbers into products of primes.

Next, write the form we are looking for immediately below
![]()
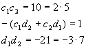
We have (matching coefficients of like powers of x)

We can make a few conclusions already. The square root of 3 is probably one of the cs, since it only appears where there are c terms. The 11 in the denominator only appears where there are d terms, so it is likely one of the d terms. It is also reasonable to conclude that the two terms on the right hand side in the middle expression correspond to the two different terms on the left hand side. Moreover, we dont care if we mix up the "1" and "2", so long as we do it consistently (to be more precise, exchanging "2" for "1" everywhere is OK the subscripts are arbitrary labels, but it is a big error to exchange the labels in one part of this calculation and not another that will lead to inconsistent results, and well never find an answer). Last, if we get a sign (+ or -) wrong, but otherwise our calculations are correct, well be OK, since the sign will either show up elsewhere if it matters, or else it doesnt matter (e.g., signs dont matter here: (1)(2) = (-1)(-2) = 2).
Lets take a guess and set
![]()
and see where this assumption leads. Direct matching with the middle term leads to the reasonable conclusion that
![]()
From the d1, d2 term,
![]()
From here, it is easiest to use the first relation (the c1, c2 term) to get the last remaining number
![]()
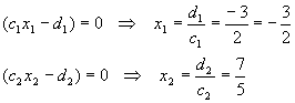
Now that we have extracted all four coefficients, we can say we have factored the equation. If we want to claim we have actually found the two solutions, we have an extra couple of steps. Set each term in turn to zero
![]()

Please note that we bothered to rationalize the denominator in both calculations, something that always should be done (dividing by an irrational number is theoretically possible, but practically impossible). We avoided rationalizing before the very last step, which is OK, but when radicals appear in the denominator of our answers, this must be fixed.
A lazy person could very well argue after all this that the quadratic formula is quicker. It is true, but the value of the above process is practicing looking at a set of equations for clues, using those clues to get answers, and then checking the answers to see if they make sense. There really is no substitute for an intimate connection with the math, and doing a guess method like the one outlined above is a great way to get very good at algebra just organizing the calculation to avoid silly mistakes is a challenge. Remember, the example above was deliberately selected to be as ugly as possible!
back to top Example all numbers different, all numbers prettyThis should be easier than the above example. The equation we need to solve is
![]()
Solution
Lets drag in our coefficients again, as a memory and organizational aid. In this case, direct comparison shows that (immediately converting to prime factorization)

We have a pretty obvious solution right at hand:
![]()
There is some uncertainty about the signs as noted. The thing to do is choose a definite value for one of the coefficients, then go through the equations to get all the others consistent. If that works, well be off by at most a minus sign (since the entire expression is equal to zero, this will not matter). So, lets choose the most obvious possible value for the first constant.

While this is another quadratic, we already have an idea what the solution must be, so lets try putting in d1 = 3 and see what happens.
![]()
That is not correct, so well try the other candidate, d1 = -3:
![]()
This worked. We have only d2 to go:
![]()
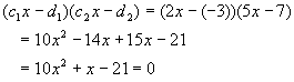
Now we check the work by assembling the coefficients and multiplying:

Which is our original quadratic.
We still havent found the roots! This is important to remember in the most general case, finding all the constants is not the same as getting the roots! Fortunately, its a smooth ride from here

Note: There is an intermediate case, where only one of c1 or c2 is 1 and the other is different than 1, but I classify this as four separate numbers, since it is just as difficult as the preceding case.
The usual "reverse FOIL" commonly discussed in high-school level math covers the case where the two cs are equal to 1, so that the guessing involves just the ds, a much easier case. Well talk about it in the same context as the above examples, again because were trying to show that the mechanics are pretty much the same for all these problems.
The first thing to do is to see the effect of setting the cs to 1 on our guide equations:
![]()
When multiplied out, this looks like:
![]()
Well do a couple of examples to show how much easier this makes it to guess the solutions.
back to top ExamplesExample
Find the roots
![]()
Solution
We need two numbers whose sum is 3 and whose product is 10. Lets guess 2 and 5. Plugging them in gives

Since we got our original quadratic back, were done.
Discussion
We could have tried to use the guide equations in the last example

This is a bit more systematic, but still involves guessing. The previous method seems more straightforward just guess and plug in to see if the guesses were right.
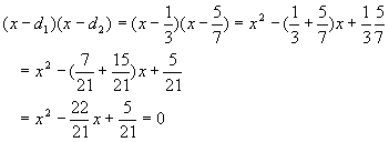
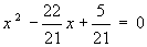
Example
Find the roots
![]()
Solution
Were looking for two numbers whose sum is 22/21 and whose product is 5/21. Since these numbers are a bit ugly, well resort to using the guide equations

This is satisfied by
![]()
Which forces
![]()
Plugging these back into the quadratic gives

It should be obvious from this example that lots of experience working with numbers (i.e., arithmetic) is really handy. Rather working a ton of fairly useless arithmetic calculations, we suggest you use the opportunities presented in the course of working algebra problems like the one above to give yourself more experience. There is no harm (and much benefit) from jotting down a few notes here and there when you find an interesting insight into the numbers you are working.
There are an infinite number of different quadratic equations. These notes present you with three very different methods of solving them (FOIL in this document, completing the square and the quadratic formula). More importantly, we have sketched a way of classifying quadratics in each case. By working many problems (perhaps solving a given quadratic each of the three ways to see which is best for a particular case), youll eventually develop intuition about which method is most likely to work "best" for a new quadratic you have never seen before.

The classic algebra problem book - very light on theory, plenty of problems with full solutions, more problems with answers

A simplified and updated version of the classic Schaum's Outline. Not as complete as the previous book, but enough for most students