U Substitution
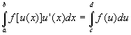
Here we are trying to find a little function u(x) which fits inside the bigger function f(x) something like this:
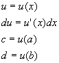
where we have defined
This can make large integrals telescope down to very simple ones. The hard part is learning to recognize the little function u(x), since it likes to hide (and math professors think this is real cute and funny, so watch out!). To deal with this (usual advice): consider lots of examples!
Set
then
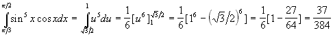
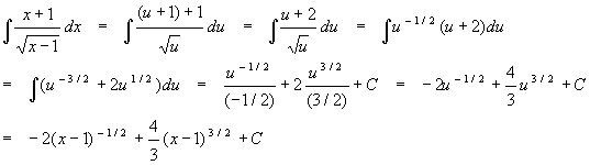
Set
which makes the integral (see Integration by Parts or Integral Table)
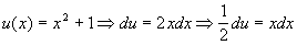
Set
then the integral becomes
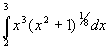
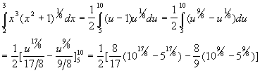
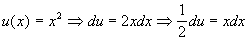
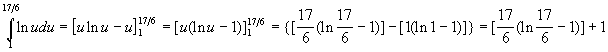
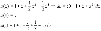
This one is trickier, and requires some skill at recognition. There don't seem to be any clean derivatives of the inside, but that must be u(x) since it is raised to such an ugly power, so let's try
This is real nice, but what about the x cubed term? Well,
and that leaves just the limits:
now our integral packs up nicely:
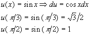
Set
then
Set
Then

The classic calculus problem book - very light on theory, plenty of problems with full solutions, more problems with answers
Schaum's Easy
Outline: Calculus